Resuelven la paradoja de la misteriosa polarización de la línea D1 del sodio solar

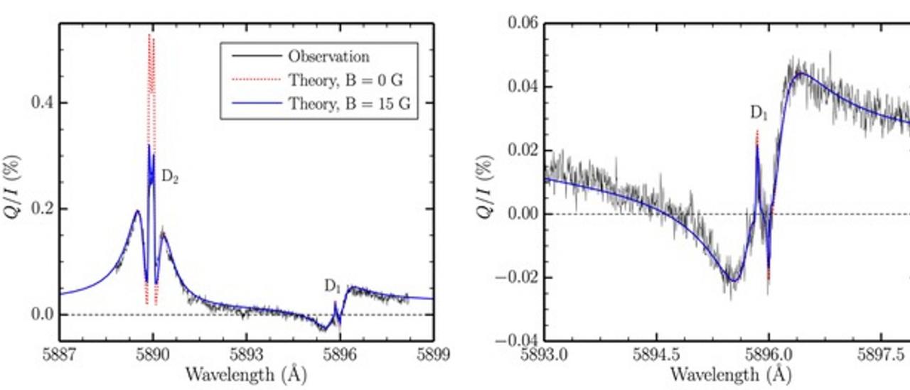
Perfil de polarización lineal de las líneas espectrales D1 y D2 solares, comparando observaciones con modelización (ver leyenda). Nótese el excelente acuerdo con las observaciones cuando se asume que la atmósfera solar está significativamente magnetizada.
Fecha de publicación
Referencias

En 1998 la revista Nature publicó un novedoso artículo en el que se concluía que la misteriosa señal de polarización (una propiedad de la luz) que se había observado recientemente en la línea espectral D1 del sodio implicaba que la cromosfera solar (una importantísima región de la atmósfera solar) no podía estar significativamente magnetizada, en clara contradicción con los resultados vigentes. Tal paradoja motivó experimentos de laboratorio e investigaciones teóricas que, en lugar de dar una solución, originaron nuevas dudas e incluso llevaron a algunos científicos a cuestionar la teoría cuántica de la interacción luz-materia. En este trabajo hemos llevado a cabo la modelización teórica más completa jamás antes realizada de las señales de polarización de esta línea espectral, teniendo en cuenta la acción conjunta de muchos complejos mecanismos físicos que operan cuando los fotones interactúan con los átomos en presencia de campos magnéticos. Hemos podido reproducir las enigmáticas observaciones de la polarización de la línea D1, en presencia de campos magnéticos del orden de gauss. Eso supone la resolución de esta duradera paradoja, y abre una nueva ventana para la exploración de los campos magnéticos de la cromosfera solar en la presente nueva era de grandes telescopios solares.